公司新闻/正文
123 人阅读发布时间:2025-09-04 10:49
一张一弛,动态平衡
中国古语有云:“一张一弛,文武之道也。”这句话形象地比喻了生活和工作需有紧有松、劳逸结合。其实,我们身体内的细胞世界也同样遵循着这条古老的法则:“张”代表细胞的增殖分裂(生),“弛”代表细胞的程序性死亡(死)。一张一弛,动态平衡,方能维持健康生存。
细胞上的生死较量
Bcl-2 是程序性细胞死亡(凋亡)和细胞存活的关键调控因子。当 Bcl-2 基因受损或过表达时,会导致淋巴瘤和乳腺癌等癌症的发展,同时也会影响癌症治疗的效果。在癌症治疗中,Bcl-2 抑制剂是阻断 Bcl-2 蛋白作用的药物,促使癌细胞凋亡并被清除。
Ki-67 是一种细胞增殖标志物,尤其适用于癌症诊断和预后。Ki-67 高表达表明细胞分裂增殖活跃,往往提示着肿瘤生长速度更快,复发或扩散的风险也更高。
流式揭秘失衡的癌细胞世界
骨髓增生异常综合征(myelodysplastic syndromes,MDS)是一组起源于造血干细胞的异质性髓系克隆性疾病,其特点是髓系细胞发育异常,表现为无效造血、难治性血细胞减少,高风险向急性髓系白血病(AML)转化。该病的病因包括骨髓造血干细胞功能异常、骨髓微环境改变、各种突变以及染色体和(表观)遗传异常。流式细胞术对于 MDS 的预后分层以及低危 MDS 与非克隆性血细胞减少症的鉴别诊断有应用价值。对于无典型形态学和细胞遗传学证据,无法确诊 MDS 的患者,FCM 检测结果可作为辅助诊断标准之一。
流式细胞仪可同时检测细胞上的 Bcl-2 和 Ki-67 两种信号,利用多参数流式细胞技术,可以同时检测和分析待测样本中不同细胞谱系以及细胞不同发育阶段上 Bcl-2 和 Ki-67 的表达。今天我们要分享的内容是借助流式细胞术评价 Bcl-2 和 Ki-67 的“生死较量”从而评估恶性细胞的累积和疾病的发生。

检测方案:

图1. 十色检测方案
研究指标:
不同细胞系以及细胞不同发育阶段的 Bcl-2,Ki-67 和 Bcl-2 : Ki-67 比值
研究发现:
在 MDS 和 AML 患者中,抗凋亡细胞(Bcl-2+)细胞比例显著增加,而增殖细胞(Ki-67+)细胞比例显著减少。

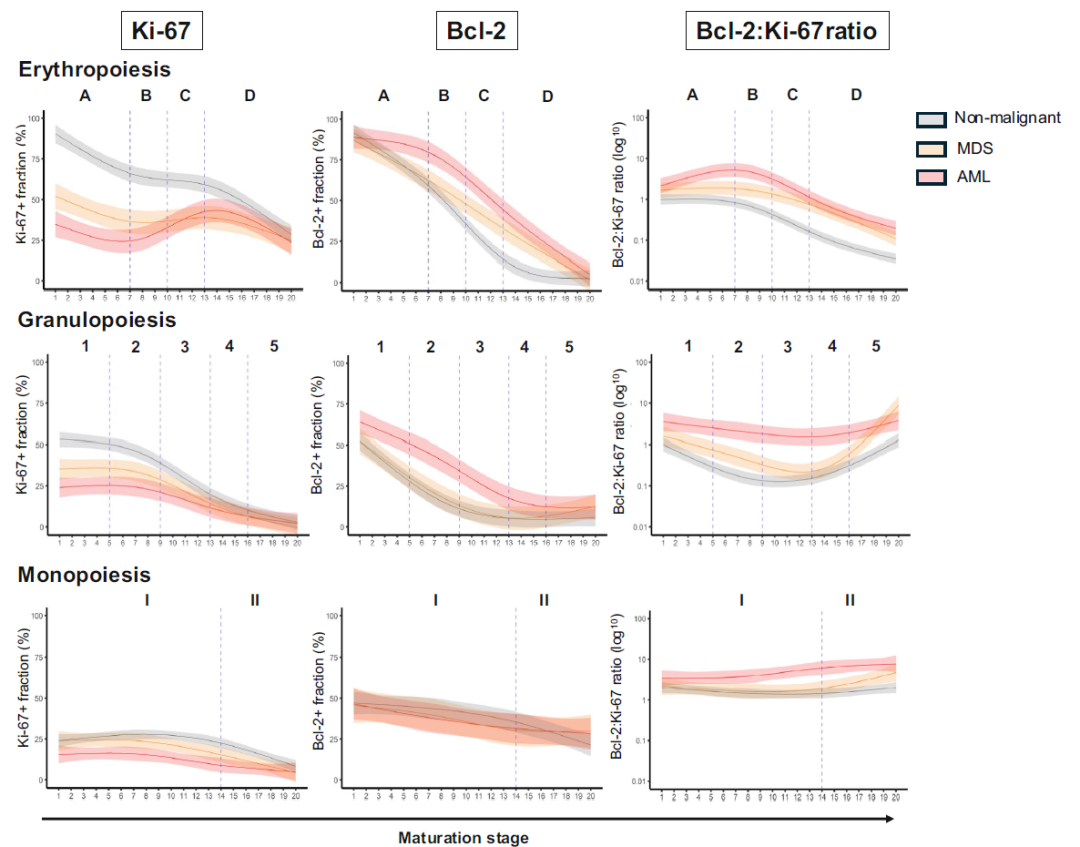
图 2. 各个造血细胞谱系(红细胞、粒细胞、单核细胞)上的 Bcl-2,Ki-67 和 Bcl-2 : Ki-67 比值
这种变化在各个造血细胞谱系(红细胞、粒细胞、单核细胞)的不同成熟阶段中均表现出差异,也就是说 MDS 和 AML 中的癌细胞展现出的“高生存、低增殖” 的异常状态。癌细胞更倾向于利用 Bcl-2 来延长自己的寿命,而不是依靠 Ki-67 去快速分裂。

图 3. 每个病例三种不同造血细胞的 Bcl-2:Ki-67 比值:与非恶性血液病相比,MDS 和 AML 中 Bcl-2 : Ki-67 比值总体较高

图 4. 各个造血细胞系(红细胞、粒细胞、单核细胞)不同发育阶段的 Bcl-2,Ki-67 和 Bcl-2 : Ki-67 比值
备注:
红细胞发育阶段:(A) 原红细胞,(B) 早幼红细胞,(C) 中幼红细胞,(D) 晚幼红细胞
粒细胞发育阶段:1:早幼粒细胞,2:中幼粒细胞,3:晚幼粒细胞,4:杆状细胞,5:中性粒细胞。
单核细胞发育阶段:I:幼单核细胞,II:单核细胞。
研究结论:

应用结语
细胞的“生死”平衡,是生命的重要组成部分。当这种平衡被打破,就可能引发疾病。通过多参数流式检测 Bcl-2 和 Ki-67,为我们揭示了这一平衡失衡的关键线索,帮助我们理解血细胞癌变的病理机制,也为未来疾病的早期诊断和治疗提供新的思路。
此文仅供科普,对患者的临床诊治应结合其症状/体征、病史、其它实验室检查及治疗反应等情况综合考虑。
参考文献
1. Mestrum, S. G. C., Schoenmakers, T., Wang, S. J., de Wit, N. C. J., Boonen, B. T., van Hemert, W. L. W., Deneer, R., Hopman, A. H. N., Ramaekers, F. C. S., & Leers, M. P. G. (2025). Increased anti-apoptotic (Bcl-2+) and decreased proliferative (Ki-67+) cell fractions during the different maturation stages of bone marrow cell populations in MDS and AML: The potential diagnostic impact of the Bcl-2:Ki-67 ratio. Cytometry Part B: Clinical Cytometry, 108(2), 146–160.
2. 中华医学会血液学分会. 骨髓增生异常综合征中国诊断与治疗指南(2019年版)[J]. 中华血液学杂志,2019,40(2):89-97. DOI:10.3760/cma.j.issn.0253-2727.2019.02.001.