公司新闻/正文
88 人阅读发布时间:2025-10-16 09:35
无论研究癌细胞的增殖抑制,还是探索神经细胞的迁移机制,甚至是评估药物对细胞功能的影响,96 孔微孔板都是不可或缺的工具,但使用过程中也会出现 bug。

其实修改一个步骤——换一个 96 孔 Agilent InteroCyte 无阴影成像微孔板就行。它能彻底消除成像区域中的阴影,让你能清晰地看到每一个细胞,无论是孔中心还是边缘。
▼ 扫描下方小程序码免费试用 ▼

独特设计,解决 96 孔板常见问题
为了满足研究人员对高可靠性细胞增殖分析解决方案的需求,安捷伦开发出了 96 孔 Agilent InteroCyte 无阴影成像(SFI)微孔板。这款微孔板采用独特的孔设计,可轻松消除成像区域中弯液面造成的阴影,分析时使用 96 孔板规格的常用体积(图 2),且无需进行任何图像处理。这款微孔板的长宽尺寸还符合 ANSI/SLAS 微孔板标准,因此不仅可以与安捷伦成像系统(例如 BioTek Cytation 和 Lionheart 系统以及 xCELLigence RTCA eSight)搭配使用,还能兼容任何显微镜系统。

图 2. Agilent InteroCyte 无阴影成像微孔板的孔
实验全流程梳理
1 材料
细胞和培养基
本次评估使用的是 HeLa 细胞,这种细胞经过基因改造可以表达红色荧光蛋白(RFP),其信号可以被 Texas Red 成像模块捕获。细胞培养使用 Eagle 最低限度基础培养基(ATCC,货号 30-2003),按照供应商推荐的方案添加 10% 胎牛血清(FBS)和 1% 青霉素/链霉素(pen/strep)作为培养基补充成分。
仪器
使用 Agilent BioTek Lionheart FX 全自动智能成像分析系统上的宽场(WFOV)相机捕获图像。使用安捷伦 4x 平场扩展型复消色差空气物镜(货号 1220573)捕获所有图像。高对比度明场(HCBF)成像模块用于捕获无标记图像,而荧光成像模块以及安捷伦 590 nm LED 模块(货号 1225002)和 Texas Red 滤光片模块(货号 1225102)则用于捕获荧光图像。
软件
使用 Agilent BioTek Gen5 Image Prime 软件进行图像捕获和分析。
2 方法
无弯液面阴影成像的细胞接种方案
将细胞以 2,000 个细胞/孔的密度接种到三块 InteroCyte 无阴影成像 微孔板(货号 204973-100)的 16 个孔中,以及三块含有圆柱形孔的竞品 96 孔透明微孔板(对照孔板)中,每孔接种体积为 250 µL,该体积是无阴影成像的最低要求。接种后让细胞在生物安全柜中室温静置一小时使其沉降至孔板底部,随后转移至 37°C/5% CO2 培养箱中培养。培养期间每 24 h 执行一次 50% 体积培养液更换。
成像和分析
使用前述物镜和成像模式,结合 2 行 × 2 列的 4x 图像拼接技术完成各类孔板的全孔成像。在 72 h 观察期内,每 24 h 使用默认自动对焦方法采集一次图像,以追踪细胞增殖动态。同时,通过降低焦距使细胞和背景亮度之间达到最大对比度来采集第二组高对比度明场图像[1]。完成图像采集后,将所有图像拼接在一起。然后使用无标记方法或荧光成像方法对视野内的细胞总数进行定量分析。
实验结果与讨论
1 结果
通过对比 InteroCyte 无阴影成像微孔板采集的 4x HCBF 拼接图像(图 3A),我们可以清楚看到 InteroCyte 无阴影成像 微孔板从孔中心到边缘均呈现均匀照射效果。表达 RFP 的细胞无论位于孔内哪个位置,在 Texas Red 通道(图 3B)和 HCBF 通道中均清晰可辨,尤其是孔边缘区域仍保持优异成像质量。
相比之下,在对照孔板采集的 HCBF 拼接图像(图 3C)中可 以明显看到孔周围的弯液面阴影。这种阴影实际上遮蔽了孔外 缘的细胞,在 Texas Red 通道中可看到这些细胞。
弯液面阴影效应的定量分析
使用相同分析标准对采集的图像进行细胞分析时,可明确定量弯液面阴影对数据质量的影响(图 4)。

图 3. 从 Agilent InteroCyte 无阴影成像微孔板(A 和 B)和对照孔板(C 和 D)的孔中采集的 4 倍拼接图像。使用 HCBF 成像(A 和 C)以及 Texas Red 荧光通道(B 和 D)采集的图像

图 4. 对在 72 h 时间点从 Agilent InteroCyte 无阴影成像微孔板(A 和 B)和对照孔板(C 和 D)的孔中采集的 4 倍拼接图像进行细胞分析后应用对象 Mask。对 HCBF 图像(A 和 C)以及 Texas Red 荧光图像进行分析(B 和 D)在代表性 InteroCyte 无阴影成像微孔板中,使用 HCBF 通道时孔内计数细胞数(13225)是 Texas Red 通道计数细胞数(13280)的 99.6%。
相比之下,在代表性对照孔板中,使用 HCBF 通道时孔内计数细胞数(8711)仅为 Texas Red 通道计数细胞数(10156)的 85.8%。
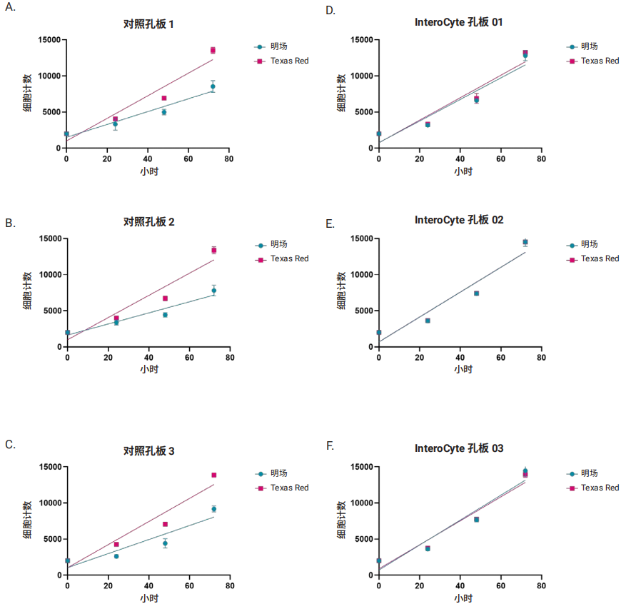
研究发现, InteroCyte 无阴影成像微孔板确实可以减少干扰因素对结果稳定性的影响。根据细胞增殖研究中的测试板数据,绘制细胞计数随时间变化的曲线图。图 5A–5C 显示,在 InteroCyte无阴影成像微孔板采集的 HCBF 和 Texas Red 图像中,细胞计数结果高度一致。
而图 5D–5F 则显示了对照孔板中细胞计数的显著差异。使用 HCBF 通道成像时,孔边缘的细胞在整个研究过程中都未被计数。随着这些细胞不断增殖,细胞计数的误差越来越大。

图 5. 使用 Agilent InteroCyte 无阴影成像微孔板(A–C)或对照孔板,根据 HCBF 或 Texas Red 图像绘制的 72 h 细胞增殖曲线(D–F)
使用 GraphPad Prism 对生成的 HCBF 和 Texas Red 细胞增殖曲线的斜率之间的差异进行统计分析,相当于协方差分析(表 1)[2]。
表 1. 由三块对照孔板和三块 Agilent InteroCyte 无阴影成像 微孔板测试板的 HCBF 和 Texas Red 细胞计数生成的曲线斜率。还报告了使用 GraphPad Prism 得到的斜率比较测试的 p 值

使用对照孔板生成的细胞增殖曲线进行比较的 p 值均小于 0.0001。根据既定标准,两条曲线之间具有显著差异,因为它们的 p 值小于 0.001。另一方面,每块 InteroCyte 无阴影成像 微孔板计算得出的 p 值均大于 0.4,根据标准(p 值大于 0.05),不同成像通道之间无显著差异。
2 讨论
图 3C 中的图像采集自柱形孔对照孔板,揭示了使用传统微孔板带来的问题。弯液面仍在成像区域内,形成的阴影阻碍了孔边缘的正常照射。这种效应会导致细胞计数减少(图 4C 和 4D),并对细胞增殖曲线产生不利影响(图 5E–5H 和表 1),进而导致对测试细胞类型的生长速率或测试分子对目标细胞的影响做出错误判断。
相比之下,图 3A 中的图像展示了 InteroCyte 无阴影成像微孔板独特的孔几何形状如何提供照射均匀的全孔图像。无论是使用 HCBF 通道(图 4A)还是 Texas Red 通道(图 4B),都可以轻松观察并计数孔边缘的细胞。因此,研究人员可以完全相信使用无标记方法获得的细胞计数结果和细胞增殖曲线(图 A–D 和表 1)不仅数据准确,而且具有优异的重复性。
结论
综上,我们可以看出 Agilent InteroCyte 无阴影成像微孔板为实现无阴影全孔图像提供了可靠解决方案。独特的孔设计消除了成像孔中弯液面产生的影响,分析时使用细胞分析工作流程中的常用体积即可。
在进行无标记细胞分析试验(如细胞增殖和毒性评估)时,可获得准确、可靠的数据。除了荧光成像外,InteroCyte 无阴影成像微孔板还支持体积小于 250 µL 的非全孔、无标记成像。除了荧光成像外,InteroCyte 无阴影成像 微孔板还可用于体积小于 250 µL 的其他常规成像应用,比如对每孔的一部分进行无标记成像。作为治愈 96 孔板成像恐惧症的「良药」,它轻松解决了弯液面阴影带来的细胞计数不准、操作繁琐、效率低下的问题,让实验变得简单又高效。
参考文献
[1]. High Contrast Brightfield(高对比度明场)
[2]. GraphPad. “GraphPad Prism 10 Curve Fitting Guide – Comparing Sloped and Intercepts.” Home-GraphPad
文章来源:安捷伦细胞分析公众号
关于安捷伦细胞分析
安捷伦细胞分析平台包括xCELLigence RTCA实时细胞分析仪、Novocyte系列流式细胞仪、Seahorse能量代谢分析仪以及Synergy系列微孔板检测仪和Cytation 系列(共聚焦)细胞成像多功能微孔板检测仪。安捷伦细胞分析平台聚焦基础科研与细胞与基因治疗产品的开发全流程,作为适配新一代疗法的强大分析工具,提供多方位的细胞效力检测和深度的细胞分析,并致力于研发、生产质控以及临床的全方位检测与分析方案开发。

扫描二维码,关注安捷伦细胞分析